小编分享Word 2013输入系统没公式的操作教程 小编分享蓝奏云软件合集分享链接汇总

相信很多朋友都遇到过以下问题,就是Word 2013输入系统没公式的操作教程。针对这个问题,今天小康教程小编就搜集了网上的相关信息,给大家做个Word 2013输入系统没公式的操作教程的解答。希望看完这个教程之后能够解决大家Word 2013输入系统没公式的操作教程的相关问题。

Word 2013是一款非常不错的办公软件,接下来小编就来讲解关于Word 2013输入系统没公式的操作教程,有需要的伙伴不要错过哦,相信一定可以帮助到你们。

Word 2013输入系统没公式的操作教程

Word 2013输入系统没公式的操作教程

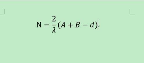
比如下面要做的这个公式是一个声学公式,新建一个文档,找到插入——公式——插入新公式。

Word 2013输入系统没公式的操作教程截图

Word 2013输入系统没公式的操作教程截图

然后出现了一个方框,我们先打入N=,然后点击分数,然后选择第一个,分数(竖式)。将鼠标放在横线的上面,虚线方框变暗的时候直接填入数字2.完成以后用鼠标点击下面的方框,变暗的时候插入——符号——希腊字母λ。

Word 2013输入系统没公式的操作教程截图

Word 2013输入系统没公式的操作教程截图

Word 2013输入系统没公式的操作教程截图

接着后面继续在公式框里面编辑,直接插入括号后再输入A+B-d。输入完成以后就可以看见公式的全部内容了。

Word 2013输入系统没公式的操作教程截图

Word 2013输入系统没公式的操作教程截图

再比如下面这个比较复杂一点的公式。这个需要分成两部分,一部分不在公式框内,一部分在公式框内,先打出字母f,然后选择下标,打上数字0.

Word 2013输入系统没公式的操作教程截图

然后再到插入——插入新公式里面插入分数,如果觉得符号找起来不方便也可以在搜狗输入法里面找,例如π直接打读音就可以打出来。接着打后面的,点击根号输入平方根符号,可以看出里面也有一个虚线方框,点击使其变暗,然后再次点击分数,输入相应的字母。

Word 2013输入系统没公式的操作教程截图

这时接着使用搜狗输入法打出约等于,也可以输入d,在弹出的更多特殊符号中找到约等于。

Word 2013输入系统没公式的操作教程截图

Word 2013输入系统没公式的操作教程截图

Word 2013输入系统没公式的操作教程截图

最后按照之前的步骤把分数和根号分别打出来即可。打出来的公式如果经常使用,最好保存到系统里面。方法是先选中公式全部内容,然后在插入——公式最下面找到将所选内容保存为新的公式,然后输入公式名称。下次打开公式时,最新保存的公式在最上面就可以找到。

Word 2013输入系统没公式的操作教程截图

Word 2013输入系统没公式的操作教程截图

Word 2013输入系统没公式的操作教程截图

Word 2013输入系统没公式的操作教程截图

上文就讲解了Word 2013输入系统没公式的操作教程,希望有需要的朋友都来学习哦。