相信很多朋友都遇到过以下问题,就是MathType输入联立条件的操作方法。针对这个问题,今天小康教程小编就搜集了网上的相关信息,给大家做个MathType输入联立条件的操作方法的解答。希望看完这个教程之后能够解决大家MathType输入联立条件的操作方法的相关问题。
现在使用MathType的朋友越来越多,而接下里的这篇文章小编就带来了MathType输入联立条件的操作方法,感兴趣的朋友就跟小编一起来学习一下吧。
MathType输入联立条件的操作方法
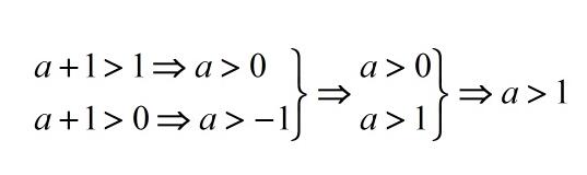
如要输入如图所示的联立条件推导过程:

具体操作如下:
1.在MathType编辑窗口中,在括号模板中选择右边大括号模板,光标定在虚线框中。

2.在矩阵模板中,选择2行1列模板,叠套在前边的虚线框中变成两行,即可输入公式。

3.将光标放在大括号右边,在箭头模板中选择向右双箭头符号;再次应用前述办法,做出第二个右括弧。

提示:若公式不是很复杂,第二步使用矩阵模板也可以直接用回车键换行来实现。
还不了解MathType输入联立条件的操作方法的朋友们,不要错过小编带来的这篇文章哦。