相信很多朋友都遇到过以下问题,就是MathType输入绝对值符号的具体办法。针对这个问题,今天小康教程小编就搜集了网上的相关信息,给大家做个MathType输入绝对值符号的具体办法的解答。希望看完这个教程之后能够解决大家MathType输入绝对值符号的具体办法的相关问题。
今天小编讲解了MathType如何输入绝对值符号操作步骤,下文就是关于MathType输入绝对值符号的具体办法,一起来学习吧!
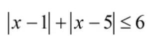
MathType输入绝对值符号的具体办法

在MathType输入以上绝对值公式的具体操作如下:
1.在Mathtype工具栏分隔符模板下选择绝对值符号模板;

2.在绝对值符号内输入“x-1”;
3.将光标移到绝对值外(如图),输入“+”;

4.再次选择绝对值符号模板,在绝对值符号内输入“x-5”;
5.将光标移到绝对值符号外,输入“≤”,最后输入数字6,完成公式编辑。
也可以使用以下几种方法输入绝对值符号:
操作方法一 使用快捷键“Ctrl+T,Shift+”。
操作方法二 在“编辑”菜单下选择“插入符号”,打开插入符号对话框,选择绝对值符号。

操作方法三 使用手写输入面板输入绝对值符号
在“编辑”菜单下选择“打开数学输入面板”,在手写面板上输入,点击“插入”,输入到MathType。

上文就讲解了MathType输入绝对值符号的详细操作过程,希望有需要的朋友都来学习哦。