我来教你几何画板对象进行删除和拖动的操作方法

相信很多朋友都遇到过以下问题,就是几何画板对象进行删除和拖动的操作方法。针对这个问题,今天小康教程小编就搜集了网上的相关信息,给大家做个几何画板对象进行删除和拖动的操作方法的解答。希望看完这个教程之后能够解决大家几何画板对象进行删除和拖动的操作方法的相关问题。

小编相信很多人的工作中都少不了几何画板这款软件,但是你们了解删除和拖动吗?下文这篇文章就带来了几何画板对象进行删除和拖动的操作方法。

几何画板对象进行删除和拖动的操作方法

几何画板对象进行删除和拖动的操作方法

几何画板对象进行删除和拖动的操作方法截图

1.删除

删除就是把对象(点、线或圆)从屏幕中清除出去。方法是:先选中要删除的对象,然后再选择“编辑”菜单中的“清除”项,或按键盘上的“Delete”键或“backspace”键。请注意,这时该对象的所有子对象均会被删除,和一般的
windows软件又不同,和数学思想倒很相近,“皮之不存,毛将附焉”。

2.拖动

用鼠标可以选择一个或多个对象,当你用鼠标拖动已经选中的对象在画板中移动时,这些对象也会跟着移动。由于几何面板中的几何对象都是通过几何定义构造出来的,而且几何画板的核心就在于“在运动中保持几何关系不变”,所以,一些相关的几何对象也会相应地移动。

当你拖动画板中的图形时,可以感受到几何画板的动态功能。请注意:在拖动之前,请按“Esc”键,或点击【移动箭头工具】后,选定要移动的对象。

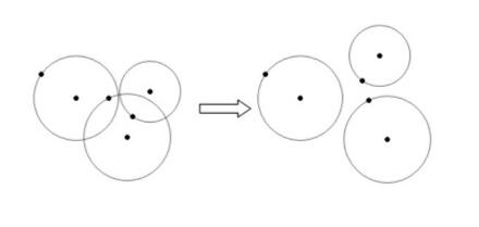
在前面学习中,你是不是用画圆工具画了三个过同一点的圆,并把它保存为“共点的三圆.gsp”的文件。现在把这个文件调出来,请大家任意选中一个圆随意拉动,看这三个圆是否还能“过同一点”?拖动结果可能如下图所示:

几何画板对象进行删除和拖动的操作方法截图

在拖动过程中,几何画板能够保持所有给定的几何关系,因为它就是根据几何关系来设计的。

上文就讲解了对几何画板对象进行删除和拖动的操作内容,希望有需要的朋友都来学习哦。